Glück oder Verstand


zum Spiel 


Ziel des Spiels

Die zwölf Tiere sind gleich schwer – bis auf eines. Mit Hilfe der Balkenwaage soll herausgefunden werden, welches das abweichende Gewicht hat.

Wenn du eine Wägung machst, stellst du eine Frage, auf die die Waage eine von drei verschiedenen Antworten geben kann. Die Waage antwortet also mit einem von drei verschiedenen Zeichen:

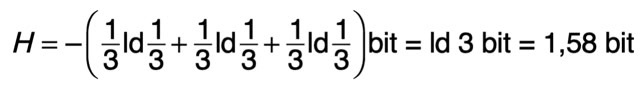
  1. rechte Waagschale geht nach unten

  2. linke Waagschale geht nach unten

  3. Waage bleibt im Gleichgewichtszustand.

Mit jedem Zeichen bekommst du eine bestimmte Datenmenge. Nach der Shannonschen Formel




ist die Datenmenge maximal, wenn die drei möglichen Zeichen gleich wahrscheinlich sind, wenn also

   p(1) = p(2) = p(3) = 1/3

ist. Die Datenmenge beträgt in diesem Fall




Die beste Strategie ist also: Stell die Tiere so auf die Waagschalen, dass die drei Antworten der Waage möglichst gleich wahrscheinlich sind.

 

Der Computer als Spielpartner und als Lehrer

Der Computer nimmt drei verschiedene Funktionen wahr.


Der Computer als Spielgegner:

Er zeigt auf dem Bildschirm eine Waage und die zu wiegenden Tiere. Er weiß, welches Tier ein abweichendes Gewicht hat.


Der Computer als Spielhelfer:

Er übernimmt die Buchführung. Er hält das Ergebnis jeder einzelnen Wägung im Protokollfenster fest, so dass man immer von jeder bereits ausgeführten Wägung weiß, in welche Richtung die Waage ausgeschlagen hatte, und welche Tiere auf welcher Waagschale gestanden hatten.


Der Computer als Lehrer:

Er bewertet jeden einzelnen Zug und bewertet am Ende das ganze Spiel. Vor jedem Zug teilt er dir mit mit, wieviel bit du maximal bei der nächsten Wägung erhalten kannst. Nachdem du die Wägung ausgeführt hast, sagt er dir, wie viel bit du tatsächlich erhalten hast: bei guter Strategie den Maximalwert, bei schlechter Strategie weniger. Am Ende des Spiels berechnet der Computer die insgesamt „verschenkte“ Datenmenge. 

Nur wenn du riskant spielst, kannst du Glück oder Pech haben. Wenn du zum Beispiel als ersten Zug auf jede Waagschale nur ein einziges Tier stellst und das gesuchte Tier zufälligerweise unter diesen beiden ist, so hast du trotz schlechter Strategie Glück gehabt. Der Computer bewertet am Ende des Spiels nicht nur deine Strategie, sondern auch wieviel Glück oder Pech du hattest. Aber je besser deine Spielstrategie ist, desto weniger Raum bleibt für Glück und Pech. Glück und Verstand stehen sich also manchmal gegenseitig im Weg.


zum Spiel