10. Entropie und Energie

1. Der Heizdraht einer 1000-W-Kochplatte hat eine Temperatur von 1000 K.
(a) Wie viel Entropie wird pro Sekunde im Heizdraht erzeugt?
(b) Auf der Kochplatte steht ein Topf mit Wasser; die Wassertemperatur beträgt 100 °C. Wie viel Entropie kommt pro Sekunde im Wasser an? Nimm an, dass keine Entropie an die Umgebung abgegeben wird.
(c) Wie viel Entropie wird auf dem Weg vom Heizdraht zum Wasser erzeugt? 







2. Ein kleiner Inselstaat hat zwei Kraftwerke mit zusammen 1600 MW. In den Leitungen zwischen den Kraftwerken und den Endverbrauchern gehen 5% der Energie verloren. Wieviel Entropie wird beim Energietransport erzeugt?






3. Durch einen Wärmemotor fließt ein Entropiestrom von 100 Ct/s. Die Temperatur am Eingang ist
150 ˚C, am Ausgang 50 ˚C. Wie viel Energie gibt der Motor pro Sekunde mit dem Energieträger Drehimpuls ab?








4. Ein Kraftwerk gibt mit der Elektrizität einen Energiestrom von 1000 MW ab. Die Temperatur des Dampfes am Eingang der Turbine beträgt 750 K, am Ausgang 310 K.

(a) Wie groß ist der Entropiestrom, der mit dem Kühlwasser wegfließt?
(b) Wie groß ist der Energiestrom, den dieser Entropiestrom trägt?
(c) Warum kann man mit dieser Energie nichts mehr anfangen?
(d) Manchmal kann man in demselben Sinn mit „Pressluft“, mit Wasser oder mit elekrischer Ladung nichts anfangen.










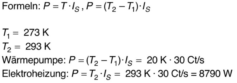
5. (a) Wozu kann man eine Wärmepumpe verwenden?
    (b) Vergleiche den Energieverbrauch eines Hauses, das mit Hilfe einer Wärmepumpe geheizt wird, mit dem eines Hauses mit einer gewöhnlichen elektrischen Heizung.
(Beispiel: Außentemperatur 0 ˚C, Innentemperatur 20 ˚C, Entropiebedarf des Hauses: 30 Ct/s)

Lösung:
(a) Mit einer Wärmepumpe kann man heizen und kühlen. Zum Kühlen wird der Entropieeingang der Wärmepumpe mit dem zu kühlenden Raum verbunden, zum Heizen wird der Entropieausgang mit dem zu heizenden Raum verbunden.

(b)





6. Ein Haus wird mit einer Wärmepumpe geheizt. Die Außentemperatur beträgt 0 °C, die Temperatur im Haus 21 °C. Die Wärmepumpe fördert 30 Ct/s.

(a) Wieviel Energie verliert das Haus in einer Sekunde an die Umgebung?
(b) Für wieviel Energie muss der Hausbesitzer in jeder Sekunde „Heizkosten“ bezahlen?






7. Ein Schwimmbad wird mit einer Wärmepumpe geheizt, die die Entropie aus der 18 ˚C warmen Umgebungsluft holt. Das Wasser im Schwimmbecken hat eine Temperatur von 26 ˚C. Der Energieverbrauch der Wärmepumpe beträgt 10 kW. Welchen Entropiestrom befördert die Wärmepumpe aus der Luft ins Wasser?





8. Die Sonne scheint vier Stunden lang auf einen Teich (1. Version.)
(a) Um wie viel nimmt die Entropie des Wassers zu?
(b) Um wie viel Grad erwärmt sich das Wasser?















9. Die Sonne scheint vier Stunden lang auf einen Teich (2. Version).

(a) Um wie viel nimmt die Entropie des Wassers zu?
(b) Um wie viel Grad erwärmt sich das Wasser?


















10. Durch einen Sonnenkollektor mit einer Oberfläche von 20 Quadratmetern fließen pro Sekunde 0,1 Liter Wasser. Der Kollektor sammelt pro Quadratmeter 200 W ein. Um wie viel erwärmt sich das Wasser während es durch den Kollektor fließt?





11. Durch einen Kupferstab, der nach der Seite hin isoliert ist, fließt ein Energiestrom von 10 W. In welche Richtung fließt er? Wie groß ist der Entropiestrom an den Stellen A, B, C und D? Wie ist der Unterschied zu erklären?





Lösung:

Der Entropiestrom fließt von A nach D, d.h. von höherer zu niedrigerer Temperatur.








Auf dem Weg von A nach B wird Entropie erzeugt, da der Stab einen Wärmewiderstand hat.


12. Was versteht man unter Energieverlust? Wodurch werden Energieverluste verursacht?


Lösung:

Der Energieverlust (die verlorene Energie) ist diejenige Energie, die für das Entsorgen der erzeugten Entropie gebraucht wird. Die Ursache von Energieverlusten ist die Entropieerzeugung (durch mechanische Reibung, elektrische Widerstände, Wärmeleitung und frei laufende chemische Reaktionen).


13. Zeichne die Energieflussbilder

  • einer gewöhnlichen Elektroheizung (wie etwa im Bügeleisen);
  • einer elektrischen Wärmepumpe;
  • eines Wärmekraftwerks (durch einen einzigen Kasten darstellen).


14.

Durch einen wärmeleitenden Stab fließt ein zeitlich konstanter Entropiestrom von einem Körper 2 mit der hohen Temperatur T2 zu einem Körper 1 mit der niedrigen Temperatur T1 . Die Körper sind so groß, dass sich ihre Temperaturen dabei nicht merklich ändern. Stell die Energie- und die Entropiebilanz auf.



Lösung:









Der Anteil der erzeugten Entropie am Gesamtstrom  IS1 hängt nur von den beiden Temperaturen ab, nicht aber von der Art des Wärmeleiters. 


15. EinWasserkraftwerk, ein Kohlekraftwerk und ein Kernkraftwerk liefern je einen elektrizitätsgetragenen Energiestrom von 1000 MW.
(a) Wie viel Entropie wird in den drei Kraftwerken erzeugt?
(b) Wie groß ist jeweils der Verlust in %?

(Temperatur am Eingang der Dampfturbine beim Kohlekraftwerk 800 K, beim Kernkraftwerk 550 K; Temperatur, bei der die Entropie an die Umgebung abgegeben wird in beiden Fällen 320 K)












16. Entropieerzeugung in der Sonne
Die Sonne gibt Energie ab. Die entsprechende Energiestromstärke beträgt 4 · 10
26 W.
Diese Energie kommt mit dem Energieträger Entropie aus der „Reaktionszone“ im Innern der Sonne zur Oberfläche. Die Temperatur im Innern beträgt etwa 16 Millionen K, die an der Oberfläche 5800 K.
(a) Berechne die auf dem Weg von innen nach außen erzeugte Entropie.
(b) Drücke diese Entropie als Bruchteil der gesamten außen ankommenden Entropie aus und kommentiere das Ergebnis.


Lorem ipsum dolor sit amet, consectetur adipiscing elit. Aliquam tincidunt lorem enim, eget fringilla