15. Das elektrische und das magnetische Feld, Induktion

15.1 Das elektrische Feld

1. Die beiden Bilder und zeigen die Verteilungen des Feldstoffes eines elektrischen Feldes.
(a) Interpretiere die Bilder.
(b) Zeichne den Verlauf einiger elektrischer Feldlinien ein, sowie einige Schnitte der Druckflächen.






Lösung:

(a) Auf den Bildern ist jeweils die Verteilung des Feldstoffs des elektrischen Feldes um zwei geladene runde Körper dargestellt. Die Intensität der Färbung gibt die Dichte des Feldstoffs wieder.
Im linken Bild ist die Konzentration des Feldstoffs zwischen den Körpern besonders groß. Auf der dem jeweils anderen Körper abgewandten Seite ist sie kleiner. Das Feld zieht die Körper aufeinander zu. Aus der Symmetrie der Verteilung kann man schließen, dass die elektrische Ladung der beiden Körper betragsmäßig gleich ist. Sie unterscheidet sich aber im Vorzeichnen.
Im rechten Bild ist die Konzentration zwischen den Körpern gering, an den Außenseiten ist sie groß. Das Feld zieht die Körper voneinander weg. Die Ladung hat auf beiden Körpern denselben Betrag und dasselbe Vorzeichen.

(b)







2. Drei elektrisch leitende Kugeln. Die obere Kugel trägt die Ladung 2Q, die unteren tragen je die Ladung –Q. Skizziere die Feldlinien und Feldflächen des elektrischen Feldes. Welche Regeln wendest du dabei an? Erkläre mithilfe der mechanischen Spannungen im Feld, in welche Richtung die Körper gedrückt oder gezogen werden.




Lösung:




Die Feldlinien verlaufen zwischen positiv und negativ geladenen Körpern. Sie kreuzen sich nicht und haben keine Knicke.
Die Feldflächen sind an jeder Stelle orthogonal zu den Feldlinien.
Die Dichte des Feldes ist an der unteren Seite des positiven Körpers größer als an seiner oberen Seite. Unten ist also der Zug größer als oben, der Körper wird nach unten gezogen. Bei den beiden unteren Körpern ist die Felddichte oben nach außen hin am stärksten. Die Körper werden also nach oben und etwas nach außen gezogen.


3. Vier geladene Kugeln, die beiden positiven tragen dieselbe Ladung, die negativen vom Betrag her auch, aber mit entgegengesetztem Vorzeichen. Zeichne Feldlinien und Feldflächen.






Lösung:









4. Bestimme näherungsweise die elektrische Feldstärke in den Punkten A und B durch Vektoraddition. Die vier Ladungen haben den selben Betrag.






Lösung:





Im Punkt A ist die Feldstärke null.


5. Bestimme der Betrag der elektrischen Feldstärke in den Punkten P und Q. Zeichne auch die Feldstärkevektoren in P und Q ein. ((Abbildung 9 cm x 12 cm))























6. Teilbilder a und b: je ein geladenes Plattenpaar. Die beiden Platten eines jeden Paares sind entgegengesetzt gleich geladen, die Ladung ist gleichmäßig verteilt. Die Ladung bei a ist dieselbe wie bei b. Randeffekte können vernachlässigt werden. Teilbild c: Plattenpaar a wurde zwischen die Platten von b geschoben. Wie sehen die Feldlinienbilder aus?






Lösung:






7. Teilbilder a und b: je eine gleichmäßig geladene hohle Kugel. Die Ladung bei a ist dieselbe wie bei b. Teilbild c: Kugel a wurde in Kugel b hineingebracht. Wie sehen die Feldlinien aus?





Lösung:






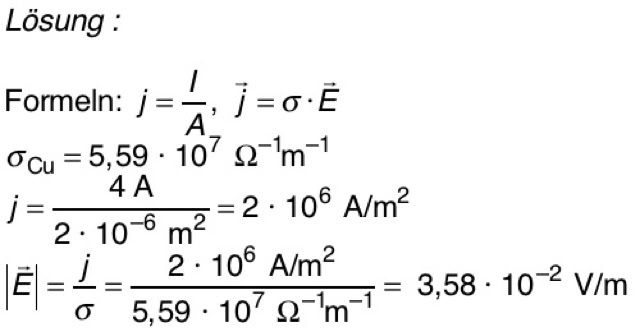
8. Durch einen Kupferdraht von 2 Quadratmillimeter Querschnittsfläche fließt ein elektrischer Strom von 4 A. Wie groß ist die elektrische Stromdichte im Draht? Wie groß ist die elektrische Feldstärke?







9. Ein 15 m langer Draht, Querschnittsfläche 0,5 Quadratmillimeter, wird an eine 1,5 V-Batterie angeschlossen. 

Wie groß ist die elektrische Feldstärke im Draht? Man misst eine elektrische Stromstärke von 2 A. Wie groß ist die elektrische Leitfähigkeit des Materials?








10. (a) Stell dir einen isolierten elektrischen Leiter vor, in dem kein elektrischer Strom fließt. Wie ist die Feldstärke in seinem Innern? Wie ist die Feldstärke außen, unmittelbar an der Oberfläche?
(b) Wie ist die Feldstärke in einem Draht, in dem ein elektrischer Strom fließt?


Lösung:

(a) Wenn sie nicht null ist, liegen die Feldstärkevektoren orthogonal zur Oberfläche.
(b) Die elektrischen Feldlinien folgen dem Draht. Falls der Draht gerade ist, ist das Feld homogen.


11. Elektrisch geladene Teilchen kann man mit Hilfe eines elektrischen Feldes mit Energie laden. Wir vergleichen Elektronen mit Protonen. Beide durchlaufen eine elektrische Potenzialdifferenz von 5 MV.
(a) Laufen die Teilchen vom hohen zum niedrigen oder vom niedrigen zum hohen Potenzial?
(b) Wie viel Energie nehmen sie auf? Vergleiche mit der Ruhenergie. Aus dem Vergleich folgt, dass du Acht geben musst. Worauf?
(c) Wie groß wird der Impuls der Elektronen und der der Protonen?













Lorem ipsum dolor sit amet, consectetur adipiscing elit. Aliquam tincidunt lorem enim, eget fringilla