14. Elektrische Ladung und Energie

1. Ein kleines Kraftwerk liefert 10 MW. Die Energie soll über eine kürzere Strecke transportiert werden. Jede der beiden Leitungen hat einen Widerstand von 0,001 Ohm. Es werden zwei Alternativen diskutiert:
– Die Übertragung geschieht gleich mit der richtigen Netzspannung, d. h. mit 230 V. So braucht man keinen Transformator.
– Eine Übertragung mit einer Hochspannung von 30 kV.

Vergleiche die Energieverluste.








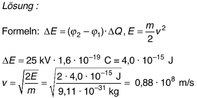
2. Ein Elektron wird in einer alten Fernsehbildröhre mit Hilfe einer Spannung von 25kV beschleunigt. Welche Energie bekommt das Elektron dabei? Wie groß wird seine Geschwindigkeit. (Masse des Elektrons: 9,11 · 10–31 kg)






3. Das Amperemeter zeigt 2 A an, das Voltmeter 3 V.
(a) Wie ist die Stärke des Energiestroms, der von der Batterie weggeht?
(b) Wie ist die Stärke des Energiestroms, der in der Lampe ankommt?
(c) Wie lange leuchtet das Lämpchen, wenn die Batterie 24 kJ enthält?
(d) Wie groß ist der Widerstand
R?














4. Das Amperemeter zeigt 100 mA an. Wie stark ist in den beiden Fällen der Energiestrom, der zur Lampe fließt, wie stark sind die Energieströme die aus den Batterien kommen?













5. Was bedeutet die Aussage ‘Die Batterie ist leer’?

6. Eine Lampe trägt die Aufschrift  6 V/2,4 W.
Was bedeutet diese Angabe?
Wie viel Energie nimmt die Lampe in 10 Minuten auf, wenn sie vorschriftsmäßig betrieben wird?
Wie stark ist der elektrische Strom durch die Lampe?






7. Willy schließt eine 6V/0,5W - Lampe und eine 6V/5W - Lampe „in Reihe“ an einen 12V - Autoakku an. Dabei leuchtet eine Lampe kurz hell auf, danach sind beide Lampen dunkel.Was ist passiert?


Lösung:

Die 5W- Lampe hat einen viel kleineren Widerstand als die 0,5W - Lampe. Daher liegt fast die ganze Spannung von 12 V an der 0,5W- Lampe. Sie brennt durch – der Stromkreis ist unterbrochen.


































Lorem ipsum dolor sit amet, consectetur adipiscing elit. Aliquam tincidunt lorem enim, eget fringilla